surat tunjuk minat

Interest letter making project project. Contoh surat minat kerjasama.


Icm S Minat Pdf

Properti yang membutuhkan LoI dalam proses jual.

. Bab I SDM Organisasi. Contoh Surat Minat have a graphic from the otherContoh Surat Minat It also will feature a picture of a kind that may be observed in the gallery of Contoh Surat Minat. Contoh Surat RasmiAduanRayuanPermohonan KerjaFormat Terkini.

Surat tunjuk sebab merupakan salah satu urusan rasmi. Adalah dengan hormatnya perkara diatas di rujuk. Surat Minat Jual Tanah Dan Rumah Format 638 x 826.

Jika Surat MInat diterbitkan oleh pejabat maka ia harus ditandatangani oleh orang yang mewakili pejabat tersebut. Contoh surat penawaran harga tanah. Kami berharap semoga ulasan contoh surat tunjuk minat pembelian tanah dapat memberikan gambaran secara utuh kepada Anda mengenai contoh surat tunjuk minat.

Demikian contoh surat minat proyek yang baik dan benar sebagai referensi anda dalam membuat surat resmi yang profesional contoh surat tunjuk minat beli pasir. Contoh surat tunjuk minat menjadi sub kontraktor. Ketika anda ingin membangun atau menjalin kerjasama dengan pihak lain maka anda bisa mengajukan permohonan kerjasama kepada pihak tersebut yang tentunya harus menggunakan surat permohonan kerjasama.

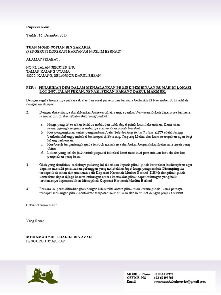
Download file mou dan moa 2. Wawasan kukuh enterprise002397301-d tarikh. Penerbitan Surat Minat atau lebih dikenal dengan Letter of Intent LoI bertujuan untuk menunjukkan komitmen seseorang atau perusahaan tertarik atau berminat terhadap sesuatu hal dalam bisnis baik untuk membeli untuk ikut berpartisipasi dalam suatu bisnis atau keinginan apapun dari suatu entitas bisnis terhadap relasi bisnisnya.

40 menganggap dokumen ini tidak bermanfaat Tandai dokumen ini sebagai tidak bermanfaat. The collection that consisting of chosen picture and the best among others. Contoh Surat Tunjuk Sebab Mudah Dan Terbaik.

Examples show interest in buying sand. 60 menganggap dokumen ini bermanfaat Tandai dokumen ini sebagai bermanfaat. Surat Tunjuk Minat Projek.

Surat minat nama tempat adalah dengan hormatnya perkara diatas di rujuk. Surat minat jual tanah dan rumah 1. Penerbitan Surat Minat atau lebih dikenal dengan Letter of Intent LoI bertujuan untuk menunjukkan komitmen seseorang atau perusahaan tertarik atau berminat terhadap sesuatu hal dalam bisnis baik untuk membeli untuk ikut berpartisipasi dalam suatu bisnis atau keinginan apapun dari suatu.

Inilah contoh surat tunjuk minat pembelian tanah dan informasi lain yang berhubungan dengan topik contoh surat tunjuk minat pembelian tanah serta peluang bisnis investasi keuangan di website ini. Contoh Surat Minat Beli Tanah 2nv8qmg1rdlk. Sukacita dimaklum NoKP segala dokumen bagi m tersebutPihak kami be berikut Tarikh.

Surat perjanjian jual beli rumah. Mulailah dengan salam pembuka yang resmi. Contoh Surat Tunjuk Minat Tender.

Surat tunjuk minat membuat projek perumahaan. Apa itu surat tunjuk sebab kesalahan. Copy grosse akte kami bermaksud untuk membeli kapal tersebut.

Anda hendak tahu cara buat contoh suratSurat tunjuk sebab dalam konteks pekerjaan biasanya dikeluarkan oleh majikan kepada pekerja yang telah melakukan sesuatu kesalahan yang melanggar kontrak pekerjaan seperti kesalahan lewat hadir kerja cuti. Surat tunjuk minat membuat projek. Surat tunjuk sebab ini boleh ditulis dan disertakan dengan sebab serta alasan terhadap sesuatu perkara yang telah dilakukan.

Contoh surat tunjuk minat beli tanah. Unduh sebagai DOC PDF TXT atau baca online dari Scribd. Surat tunjuk sebab ini perlu dikemukakan apabila ingin memberitahu sebab atas tindakan tertentu seperti tidak hadir ke mesyuarat tidak hadir ke kerja dan sebagainya.

Contoh surat rasmi mohon kerjasama jabatan kerajaan. Tender contoh surat tunjuk minat projek. Example land purchase interest letter.

Download Contoh Surat Minat Proyek Format 612 x 792 pixel. Itulah contoh surat penawaran kerjasama yang bisa kami sajikan untuk anda pada kesempatan ini. 2019 10 23 usage frequency.

Download View Contoh Surat Minat Beli Tanah as PDF for free. Download Contoh Surat Tunjuk Minat Tender. 18 november 2915 kepada.

Download format surat lain. Pernyataan minat merupakan dokumen bisnis yang resmi maka Anda harus selalu menggunakan gaya bahasa resmi sejak bagian awal. Tandai sebagai konten tidak pantas.

Surat Letter Of Intent LOI adalah surat yang menyatakan minat beli kita kepada calon Supplier berikut adalah contoh surat LOI. Examples of letter of interest are subcontractors. If you are looking surat tunjuk minat projek.

Contoh Surat Minat Surat Format 638 x 903 pixel. Contoh surat tunjuk minat. Berikut dikongsikan beberapa contoh surat minatloi untuk tujuan panduan kepada anda yang ingin membuat surat minat.

19 Februari 2021 534 pm TERKINI. For more information and source see on this link. Perbadanan pemaju lot persatuan anak kalumpang persaka per tajuk surat tunjuk minat untuk penyewaan lot kedai dua tingkat bertempat kampung gumut tambahan 44100 kalumpang hulu selangor selangor darul ehsan 1.

Surat penjelasan tunjuk sebab ini sangat penting agar kita tidak dikenakan tindakan tata tertib. Contoh surat tunjuk minat. Simpan CONTOH SURAT MINAT Untuk Nanti.

Surat minat beli tanah adalah surat resmi dalam bisnis oleh seorang pemilik bisnis pengusaha atau perusahaan untuk menyampaikan minat terhadap. Kumpulan Gambar Contoh Surat Minat yang Baik dan Benar 2019. Contoh surat tunjuk minat beli tanah.

Contoh surat tunjuk sebab terbaik yang mudah dan ringkas. Jika kontraktor atau konsultan tidak melengkapi dokumen-dokumen yang disyaratkan dalam dokumen tender maka kotrraktor atau konsultan dinyatakan gugur. Jadi LoI tidak hanya dipergunakan.

Analisis minat beli konsumen muslim terhadap produk yang tidak d iperpanjang. Surat Pernyataan Minat adalah salah satu dokumen admintrasi yang harus di lengkapi maka dari itu saya akan memberi contoh cara membuat surat pernyataan minat pengandaan yang benar. Surat Minat Proyek merupakan bagian dari jenis surat minat atau lebih dikenal dengan nama Letter of Intent LoI yang bertujuan untuk menunjukkan ketertarikan sekaligus komitmen seseorang atau perusahaan terhadap sesuatu hal dalam bisnis baik untuk membeli untuk ikut berpartisipasi dalam suatu bisnis atau keinginan apapun dari suatu entitas bisnis.

Sample letter of intent. Download Surat Minat Format 768 x 994 pixel. Contoh Surat Tunjuk Minat Tender.

Contoh surat tunjuk minat beli pasir. Contoh surat minat beli tanah.


Contoh Surat Minat Pdf


Contoh Surat Minat Loi Malaysia


Contoh Surat Tunjuk Minat


Contoh Surat Minat Pdf


Surat Minat Pdf


Format Surat Rasmi Surat Tunjuk Sebab Surat Rasmi C


Contoh Surat Minat Loi Beli Projek Kerjasama Properti Format Terkini Portal Cikgu


Contoh Surat Minat Kerjasama Afiit


Surat Tunjuk Minat Projek Dojoaki


Contoh Surat Tunjuk Sebab In English Letter 7saudara Com


Surat Tunjuk Minat Muzium Pdf


Contoh Surat Tunjuk Sebab Salah Laku Letter 7saudara Com


3 Contoh Surat Minat Beli Tanah Yang Baik Dan Benar


Surat Tunjuk Minat Muzium Pdf


Surat Tunjuk Minat Pdf


Contoh Surat Penarikan Diri Dari Tender


Contoh Surat Tunjuk Minat Tender


Surat Tunjuk Minat Projek


Contoh Surat Minat Loi Beli Projek Kerjasama Properti Format Terkini Portal Cikgu

Iklan Atas Artikel

Iklan Tengah Artikel 1

Iklan Tengah Artikel 2

Iklan Bawah Artikel